Gate ME-2006 Question Paper With Solutions

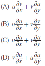
Q 11. In a two-dimensional velocity field with velocities u an v along the x and y directions respectively, the convective acceleration along the -direction is given by
Gate ME-2006 Question Paper With Solutions

Answer: (C)

Explanation:

Gate ME-2006 Question Paper With Solutions

Learn More:   Gate ME-2011 Question Paper With Solutions

LEAVE A REPLY

Please enter your comment!
Please enter your name here