Gate ME-2006 Question Paper With Solutions

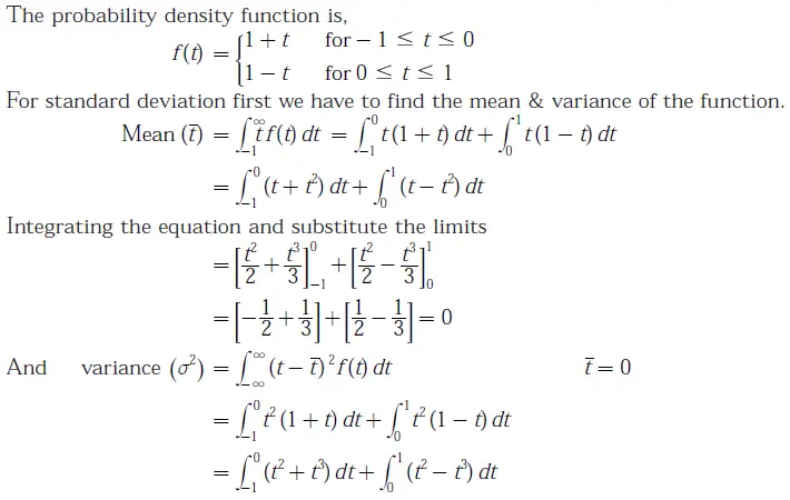
Q 28. Consider a continuous random variable with probability density function
Gate ME-2006 Question Paper With Solutions
The standard deviation of the random variable is:
Gate ME-2006 Question Paper With Solutions
Answer: (B)

Explanation:

Gate ME-2006 Question Paper With Solutions

Gate ME-2006 Question Paper With Solutions

Learn More:   Gate ME-2020-1 Question Paper With Solutions

LEAVE A REPLY

Please enter your comment!
Please enter your name here