Gate ME-2006 Question Paper With Solutions

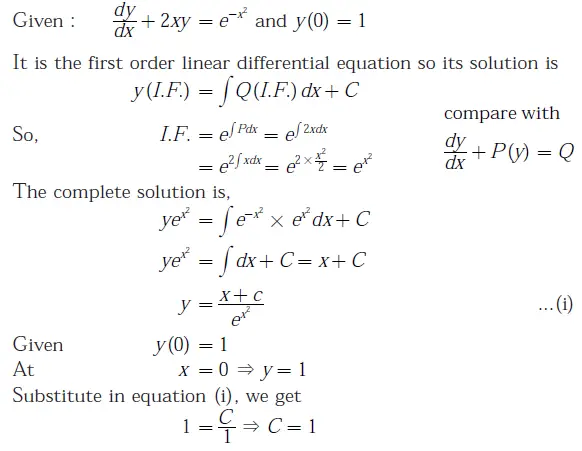
Q 2. The solution of the differential equation
Gate ME-2006 Question Paper With Solutions
Gate ME-2006 Question Paper With Solutions

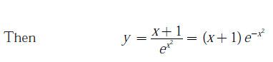
Answer: (B)

Explanation:

Gate ME-2006 Question Paper With Solutions

Gate ME-2006 Question Paper With Solutions

Learn More:   Gate ME 2014-1 Question Paper With Solutions

LEAVE A REPLY

Please enter your comment!
Please enter your name here