Gate ME-2006 Question Paper With Solutions

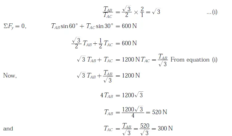
Q 38. If point A is in equilibrium under the action of the applied forces, the values of tensions and are respectively.

Gate ME-2006 Question Paper With Solutions

(A) 520 N and 300 N

(B) 300 N and 520 N

(C) 450 N and 150 N

(D) 150 N and 450 N

Answer: (A)

Explanation:

Gate ME-2006 Question Paper With Solutions

Gate ME-2006 Question Paper With Solutions

Gate ME-2006 Question Paper With Solutions

Gate ME-2006 Question Paper With Solutions

Learn More:   Gate EC-2014 - 1 Question Paper With Solutions

LEAVE A REPLY

Please enter your comment!
Please enter your name here