Gate ME-2006 Question Paper With Solutions

Q 35. Gate ME-2006 Question Paper With Solutions

Answer: (D)

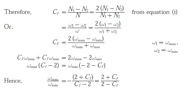
Explanation:

Gate ME-2006 Question Paper With Solutions

Gate ME-2006 Question Paper With Solutions

Learn More:   Gate ME 2015-3 Question Paper With Solutions

LEAVE A REPLY

Please enter your comment!
Please enter your name here