Gate ME-2006 Question Paper With Solutions

Q 23.Gate ME-2006 Question Paper With Solutions
Gate ME-2006 Question Paper With Solutions
Answer: (A)

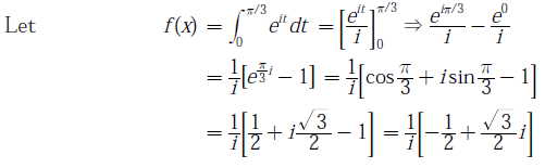
Explanation:

Gate ME-2006 Question Paper With Solutions

Gate ME-2006 Question Paper With Solutions

Learn More:   Gate EC-2012 Question Paper With Solutions

LEAVE A REPLY

Please enter your comment!
Please enter your name here