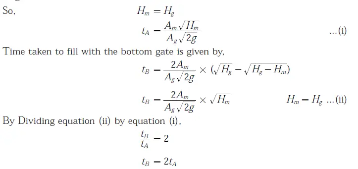
Q 58. In a sand casting operation, the total liquid head is maintained constant such that it is equal to the mould height. The time taken to fill the mould with a top gate is . If the same mould is filed with a bottom gate, then the time taken is
. Ignore the time required to fill the runner and frictional effects. Assume atmospheric pressure at the top molten metal surfaces. The relation between
and
is:
Answer: (B)
Explanation:















