Gate EE-2009 Question Paper With Solutions

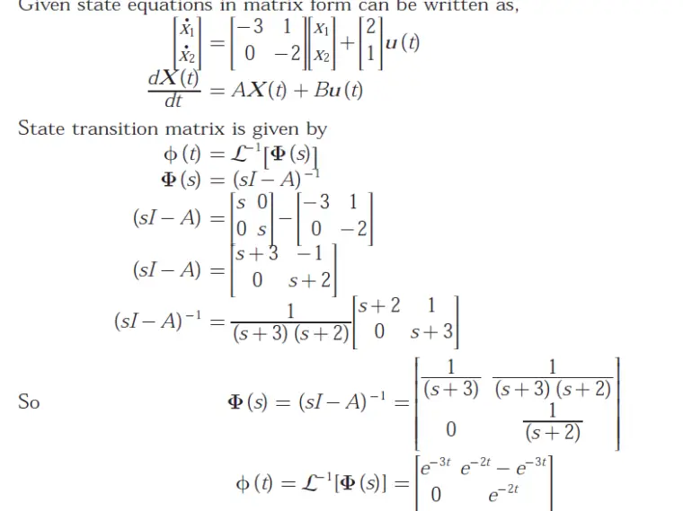
Q. 56 The state-transition matrix of the above system is

Gate EE-2009 Question Paper With Solutions

Gate EE-2009 Question Paper With Solutions

Answer:(B)

Explanation:

Gate EE-2009 Question Paper With Solutions

Learn More:   Gate EC-2012 Question Paper With Solutions

LEAVE A REPLY

Please enter your comment!
Please enter your name here