Q. 21 The following circuit has . The input voltage is a sinusoidal at 50 Hz with an rms value of 10 V. Under ideal conditions, the current from the source
is
Answer:(A)
Explanation:

Q. 21 The following circuit has . The input voltage is a sinusoidal at 50 Hz with an rms value of 10 V. Under ideal conditions, the current from the source
is
Answer:(A)
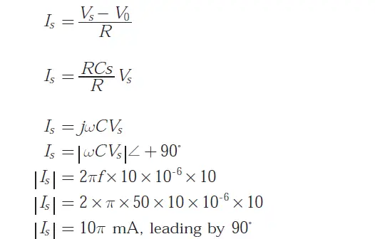
Explanation:
