Gate EE-2009 Question Paper With Solutions

Q. 40 let Gate EE-2009 Question Paper With Solutions  It’s line integral over the straight line from Gate EE-2009 Question Paper With Solutionsevaluates to

(A) -8
(B) 4
(C) 8
(D)

 

Answer:(D)

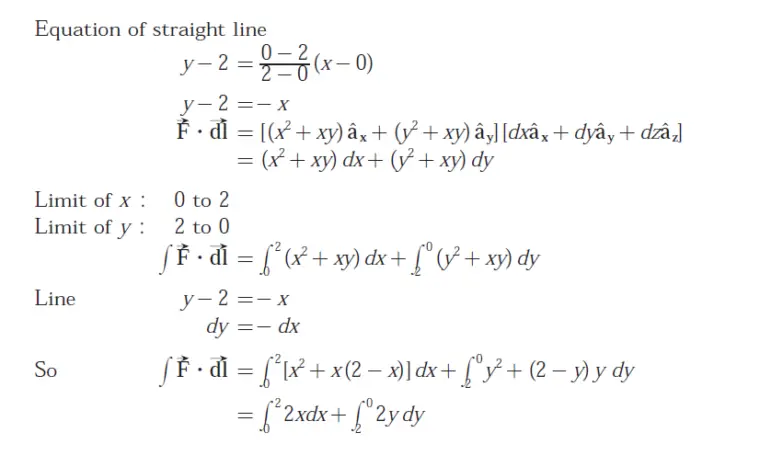
Explanation:

Gate EE-2009 Question Paper With SolutionsGate EE-2009 Question Paper With Solutions

Learn More:   Gate EC-2003 Question Paper With Solutions

LEAVE A REPLY

Please enter your comment!
Please enter your name here