Gate EE-2009 Question Paper With Solutions

Q. 36 The Fourier Series coefficients of a periodic signal x(t) expressed as  Gate EE-2009 Question Paper With Solutionsare given by Gate EE-2009 Question Paper With Solutions

Gate EE-2009 Question Paper With SolutionsWhich of the following is true ?
Gate EE-2009 Question Paper With Solutions

Answer:(C)

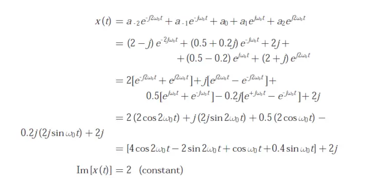
Explanation:

Gate EE-2009 Question Paper With SolutionsGate EE-2009 Question Paper With Solutions

Learn More:   Gate EE-2010 Question Paper With Solutions

LEAVE A REPLY

Please enter your comment!
Please enter your name here