Gate EC-2006 Question Paper With Solutions

Q. 80 Gate EC-2006 Question Paper With Solutions

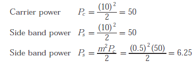
The average side-band power for the AM signal given above is

(A) 25

(B) 12.5

(C) 6.25

(D) 3.125

Answer: (C) 

Explanation:
Gate EC-2006 Question Paper With Solutions

Gate EC-2006 Question Paper With Solutions

Learn More:   Gate ME-2016-2 Question Paper With Solutions

LEAVE A REPLY

Please enter your comment!
Please enter your name here