Gate EC-2006 Question Paper With Solutions

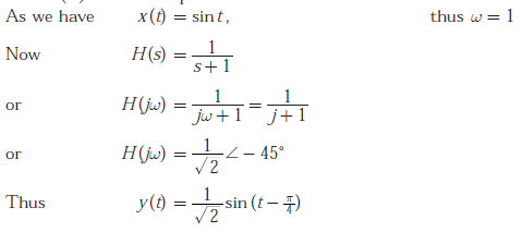
Q. 18 In the system shown below, x(t) = (sint)u(t) In steady-state, the response y(t) will be
Gate EC-2006 Question Paper With Solutions

Answer:   (A)

Explanation:
Gate EC-2006 Question Paper With Solutions

Learn More:   Gate EC-2016 - 3 Question Paper With Solutions

LEAVE A REPLY

Please enter your comment!
Please enter your name here