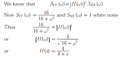
Q. 78 It is desired to generate a stochastic process (as voltage process) with power spectral density by driving a Linear-Time-Invariant system by zero mean white noise (As voltage process) with power spectral density being constant equal to 1. The system which can perform the desired task could be
(A) first order lowpass R-L filter
(B) first order highpass R-C filter
(C) tuned L-C filter
(D) series R-L-C filter
Answer: (A)
Explanation:












