Gate EC-2006 Question Paper With Solutions

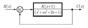
Q. 56 The positive values of K and a so that the system shown in the figures below oscillates at a frequency of 2 rad/sec respectively are

Gate EC-2006 Question Paper With Solutions
(A) 1, 0.75

(B) 2, 0.75

(C) 1, 1

(D) 2, 2

Answer:   (B)

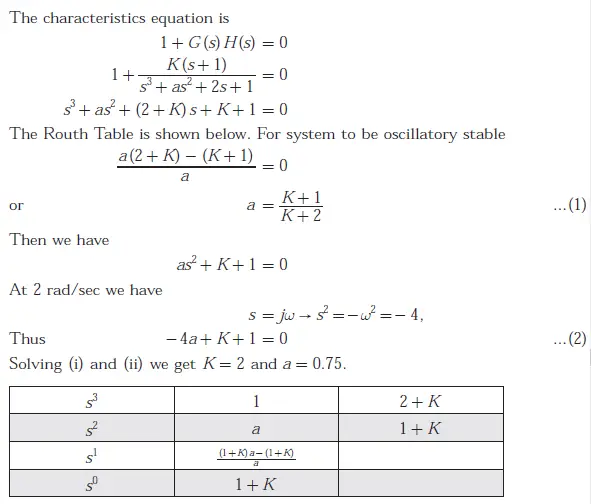
Explanation:

Gate EC-2006 Question Paper With Solutions

Learn More:   Gate EE-2008 Question Paper With Solutions

LEAVE A REPLY

Please enter your comment!
Please enter your name here