Gate EC-2006 Question Paper With Solutions

Q. 59 A linear system is described by the following state equation
Gate EC-2006 Question Paper With Solutions
The state transition matrix of the system is
Gate EC-2006 Question Paper With Solutions

Answer:   (A) 

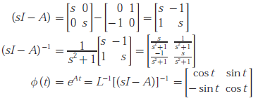
Explanation:
Gate EC-2006 Question Paper With Solutions

Learn More:   Gate CS-2014-3 Question Paper With Solutions

LEAVE A REPLY

Please enter your comment!
Please enter your name here