Gate EC-2006 Question Paper With Solutions

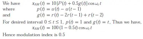
Q. 75 An Amplitude Modulated signal is given as
Gate EC-2006 Question Paper With Solutions
Answer: (A) 

Explanation:
Gate EC-2006 Question Paper With Solutions

Learn More:   Gate EE-2015-1 Question Paper With Solutions

LEAVE A REPLY

Please enter your comment!
Please enter your name here