Gate EC-2006 Question Paper With Solutions

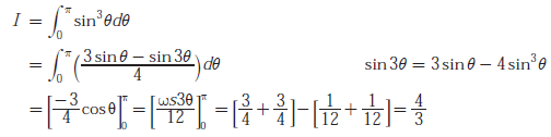
Q. 24 The integral Gate EC-2006 Question Paper With Solutionsis given by

Gate EC-2006 Question Paper With Solutions

Answer: (C)

Explanation:

Gate EC-2006 Question Paper With Solutions

Learn More:   Gate CS-2014-1 Question Paper With Solutions

LEAVE A REPLY

Please enter your comment!
Please enter your name here