Gate EC-2006 Question Paper With Solutions

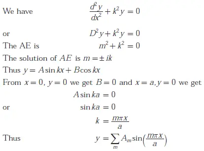
Q. 27 For the differential equationGate EC-2006 Question Paper With Solutions the boundary conditions are
(i) y = 0 for x = 0 and (ii) y = 0 for x = a
The form of non-zero solutions of y (where m varies over all integers) are

Gate EC-2006 Question Paper With Solutions

Answer: (A) 

Explanation:

Gate EC-2006 Question Paper With Solutions

Learn More:   Gate ME-2019-2 Question Paper With Solutions

LEAVE A REPLY

Please enter your comment!
Please enter your name here