Gate EC-2006 Question Paper With Solutions

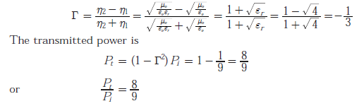
Q. 68 When a planes wave traveling in free-space is incident normally on a medium having the fraction of power transmitted into the medium is given by
Gate EC-2006 Question Paper With Solutions
Answer: (A) 

Explanation:

Gate EC-2006 Question Paper With Solutions

Learn More:   Gate EC-2016 - 1 Question Paper With Solutions

LEAVE A REPLY

Please enter your comment!
Please enter your name here