Gate EC-2006 Question Paper With Solutions

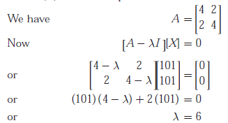
Q. 26 For the matrixGate EC-2006 Question Paper With Solutions the eigenvalue corresponding to the eigenvectorGate EC-2006 Question Paper With Solutionsis

(A) 2

(B) 4

(C) 6

(D) 8

Answer:  (C)

Explanation:

Gate EC-2006 Question Paper With Solutions

Learn More:   Gate ME 2015-1 Question Paper With Solutions

LEAVE A REPLY

Please enter your comment!
Please enter your name here