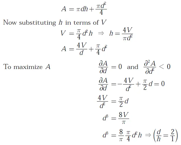
Q. 62 A cylindrical blind riser with diameter d and height h, is placed on the top of the
mold cavity of a closed type sand mold as shown in the figure. If the riser is of
constant volume, then the rate of solidification in the riser is the least when the
ratio h :d is
(A) 1: 2
(B) 2 :1
(C) 1: 4
(D) 4 :1
Answer: (A)
Explanation:















