Gate ME 2014-3 Question Paper With Solutions

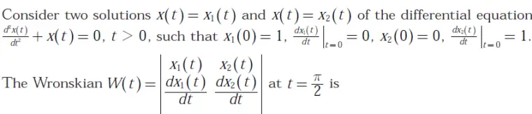
Q. 37 Gate ME 2014-3 Question Paper With Solutions(A) 1

(B) -1

(C) 0

(D)Gate ME 2014-3 Question Paper With Solutions

Answer: (A)

Explanation:

Not Required.

Learn More:   Gate CS-2012 Question Paper With Solutions

LEAVE A REPLY

Please enter your comment!
Please enter your name here