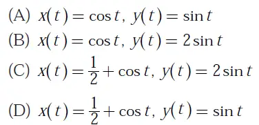
Q. 46 Consider a rotating disk cam and a translating roller follower with zero offset.
Which one of the following pitch curves, parameterized by t , lying in the interval
0 to , is associated with the maximum translation of the follower during one
full rotation of the cam rotating about the center at
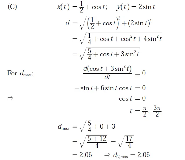
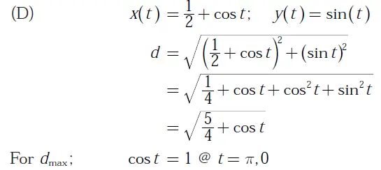
Answer: (C)
Explanation:
















