Gate ME 2014-3 Question Paper With Solutions

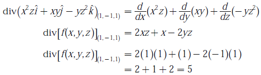
Q. 13 Divergence of the vector fieldGate ME 2014-3 Question Paper With Solutions is

(A) 0

(B) 3

(C) 5

(D) 6

Answer: (C)

Explanation:

Gate ME 2014-3 Question Paper With Solutions

Learn More:   Gate EC-2016 - 1 Question Paper With Solutions

LEAVE A REPLY

Please enter your comment!
Please enter your name here