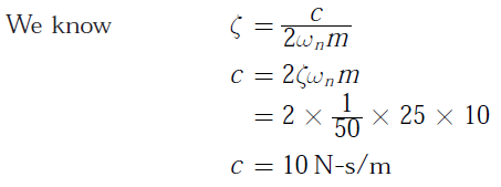
Q. 50 A mass-spring-dashpot system with mass m = 10 kg, spring constant k = 6250 N/m
is excited by a harmonic excitation of 10 cos^25thN. At the steady state, the
vibration amplitude of the mass is 40 mm. The damping coefficient (c, in N.s/m)
of the dashpot is ______
Answer: (10)
Explanation:















