Gate EC-2018 Question Paper With Solutions

Q. 45Gate EC-2018 Question Paper With Solutions Answer: (D)

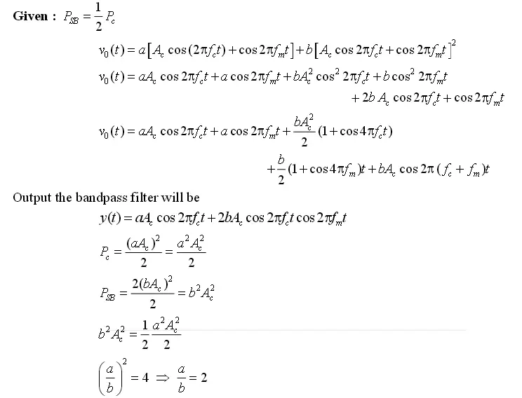
Explanation:

Gate EC-2018 Question Paper With Solutions

Learn More:   Gate EE-2016-1 Question Paper With Solutions

LEAVE A REPLY

Please enter your comment!
Please enter your name here