Gate EC-2018 Question Paper With Solutions

Q. 43Gate EC-2018 Question Paper With Solutions Answer: (B)

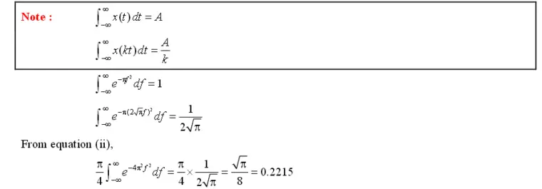
Explanation:

Gate EC-2018 Question Paper With Solutions

Gate EC-2018 Question Paper With Solutions

Gate EC-2018 Question Paper With Solutions

Learn More:   Gate EC-2003 Question Paper With Solutions

LEAVE A REPLY

Please enter your comment!
Please enter your name here