Gate EC-2018 Question Paper With Solutions

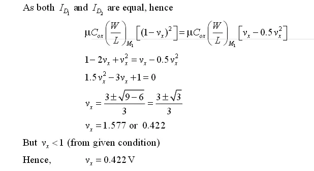
Q. 58Gate EC-2018 Question Paper With Solutions Answer: (0.422 V)

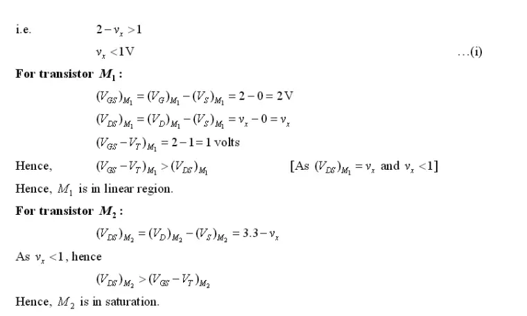
Explanation:

Gate EC-2018 Question Paper With Solutions

Gate EC-2018 Question Paper With Solutions

Gate EC-2018 Question Paper With Solutions

Gate EC-2018 Question Paper With Solutions

Learn More:   Gate CS-2016-2 Question Paper With Solutions

LEAVE A REPLY

Please enter your comment!
Please enter your name here