Gate EC-2018 Question Paper With Solutions

Q. 30Gate EC-2018 Question Paper With Solutions  Answer: (2)

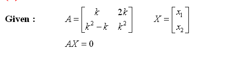
Explanation:

Gate EC-2018 Question Paper With Solutions

Gate EC-2018 Question Paper With Solutions

Learn More:   Gate CS-2009 Question Paper With Solutions

LEAVE A REPLY

Please enter your comment!
Please enter your name here