Gate EC-2018 Question Paper With Solutions

Q. 19Gate EC-2018 Question Paper With Solutions

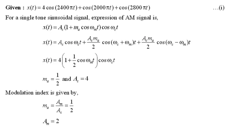
Answer: (0.25)

Explanation:

Gate EC-2018 Question Paper With Solutions

Gate EC-2018 Question Paper With Solutions

Learn More:   Gate CS-2010 Question Paper With Solutions

LEAVE A REPLY

Please enter your comment!
Please enter your name here