Gate EC-2018 Question Paper With Solutions

Q. 54Gate EC-2018 Question Paper With Solutions Answer: (A)

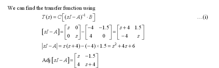
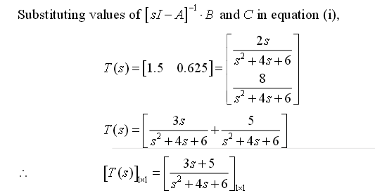
Explanation:

Gate EC-2018 Question Paper With Solutions

Gate EC-2018 Question Paper With Solutions

Gate EC-2018 Question Paper With Solutions

Gate EC-2018 Question Paper With Solutions

Learn More:   Gate EC-2016 - 1 Question Paper With Solutions

LEAVE A REPLY

Please enter your comment!
Please enter your name here