Gate EC-2018 Question Paper With Solutions

Q. 61Gate EC-2018 Question Paper With Solutions  Answer: (A)

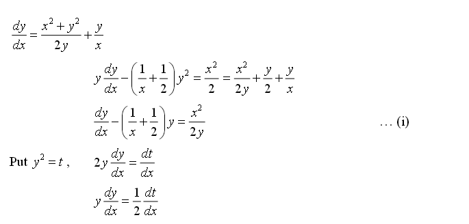
Explanation:

Gate EC-2018 Question Paper With Solutions

Gate EC-2018 Question Paper With Solutions

Gate EC-2018 Question Paper With Solutions

Learn More:   Gate ME-2020-1 Question Paper With Solutions

LEAVE A REPLY

Please enter your comment!
Please enter your name here