Q. 59 
If segments a to g are considered as functions ofand
, then which of the following is correct
Answer: B
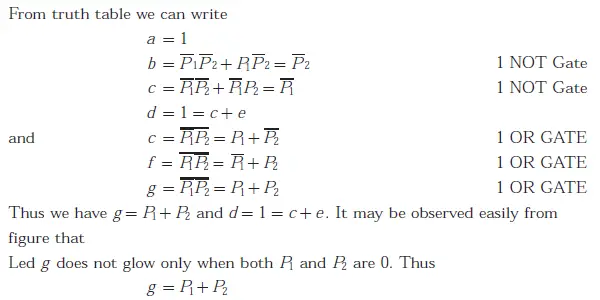
Explanation:


Q. 59 
If segments a to g are considered as functions ofand
, then which of the following is correct
Answer: B
Explanation:

