Gate EC-2009 Question Paper With Solutions

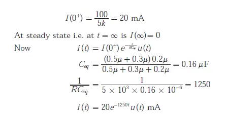
Q. 28 The switch in the circuit shown was on position a for a long time, and is move to position b at time t = 0. The current i (t) for t > 0 is given by

Gate EC-2009 Question Paper With SolutionsGate EC-2009 Question Paper With Solutions

Answer: B

Explanation:
Gate EC-2009 Question Paper With SolutionsGate EC-2009 Question Paper With Solutions

Learn More:   Gate ME 2015-3 Question Paper With Solutions

LEAVE A REPLY

Please enter your comment!
Please enter your name here