Gate EC-2009 Question Paper With Solutions

Q. 51 Gate EC-2009 Question Paper With Solutions

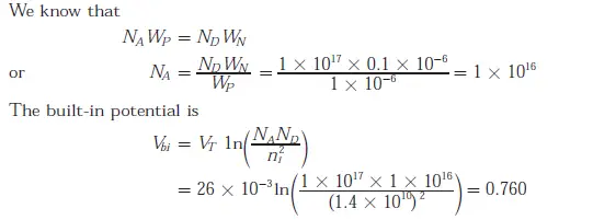
The built-in potential of the junction

(A) is 0.70 V

(B) is 0.76 V

(C) is 0.82 V

(D) Cannot be estimated from the data given

Answer: B

Explanation:
Gate EC-2009 Question Paper With Solutions

Learn More:   Gate EC-2010 Question Paper With Solutions

LEAVE A REPLY

Please enter your comment!
Please enter your name here