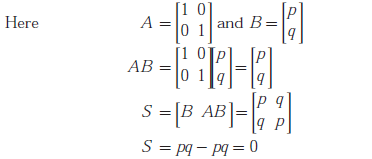
Q. 18 Consider the system
where p and q are arbitrary real numbers. Which of the following statements about the controllability of the system is true ?
(A) The system is completely state controllable for any nonzero values of p and q
(B) Only p = 0 and q = 0 result in controllability
(C) The system is uncontrollable for all values of p and q
(D) We cannot conclude about controllability from the given data
Answer: C
Explanation:












