Gate EC-2009 Question Paper With Solutions

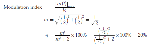
Q. 47 A message signal given by Gate EC-2009 Question Paper With Solutions amplitude – modulated with a carrier of frequency Gate EC-2009 Question Paper With Solutions What is the power efficiency achieved by this modulation scheme ?

(A) 8.33%

(B) 11.11%

(C) 20%

(D) 25%

Answer: C

Explanation:
Gate EC-2009 Question Paper With Solutions

Gate EC-2009 Question Paper With Solutions

Learn More:   Gate ME-2018-1 Question Paper With Solutions

LEAVE A REPLY

Please enter your comment!
Please enter your name here