Gate EC-2009 Question Paper With Solutions

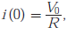
Q. 30 The time domain behavior of an RL circuit is represented by
Gate EC-2009 Question Paper With Solutions
For an initial current ofGate EC-2009 Question Paper With Solutions , the steady state value of the current is given by
Gate EC-2009 Question Paper With Solutions

Answer: A

Explanation:

Gate EC-2009 Question Paper With SolutionsGate EC-2009 Question Paper With Solutions

Learn More:   Gate EE-2012 Question Paper With Solutions

LEAVE A REPLY

Please enter your comment!
Please enter your name here