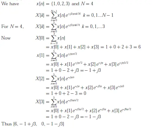
Q. 42 The 4-point Discrete Fourier Transform (DFT) of a discrete time sequence {1,0,2,3} is
(A) [0, -2 + 2j , 2, -2 – 2j ]
(B) [2, 2 + 2j , 6, 2 – 2j ]
(C) [6, 1 – 3j , 2, 1 + 3j ]
(D) [6, -1 + 3j , 0, -1 – 3j ]
Answer: D
Explanation:
Q. 42 The 4-point Discrete Fourier Transform (DFT) of a discrete time sequence {1,0,2,3} is
(A) [0, -2 + 2j , 2, -2 – 2j ]
(B) [2, 2 + 2j , 6, 2 – 2j ]
(C) [6, 1 – 3j , 2, 1 + 3j ]
(D) [6, -1 + 3j , 0, -1 – 3j ]
Answer: D
Explanation: