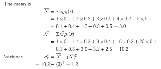
Q. 46 A discrete random variable X takes values from 1 to 5 with probabilities as shown in the table. A student calculates the mean X as 3.5 and her teacher calculates the variance of X as 1.5. Which of the following statements is true ?
(A) Both the student and the teacher are right
(B) Both the student and the teacher are wrong
(C) The student is wrong but the teacher is right
(D) The student is right but the teacher is wrong
Answer: B
Explanation:













