Gate ME-2012 Question Paper With Solutions

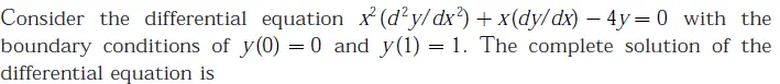
Q 46.Gate ME-2012 Question Paper With Solutions

Gate ME-2012 Question Paper With Solutions
Answer: (A)

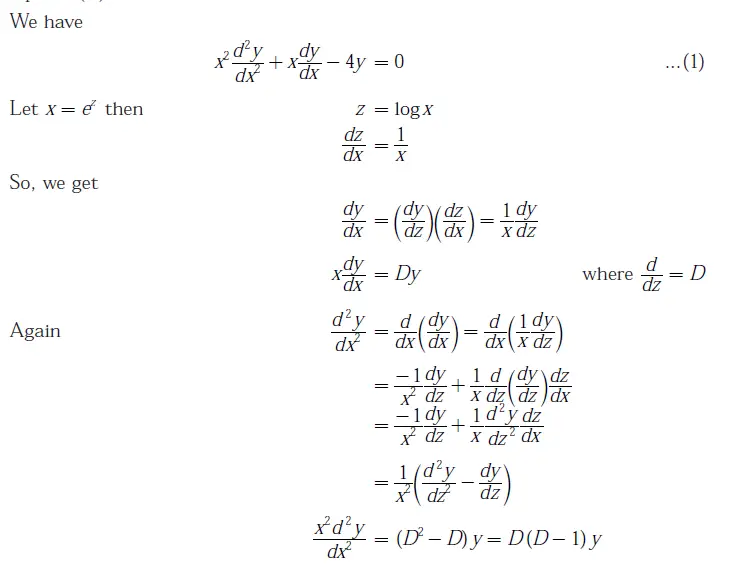
Explanation:

Gate ME-2012 Question Paper With Solutions

Gate ME-2012 Question Paper With Solutions

Learn More:   Gate EE-2019 Question Paper With Solutions

LEAVE A REPLY

Please enter your comment!
Please enter your name here