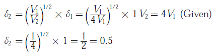
Q 30. An incompressible fluid flows over a flat plate with zero pressure gradient. The
boundary layer thickness is 1mm at a location where the Reynolds number is
1000. If the velocity of the fluid alone is increased by a factor of 4, then the
boundary layer thickness at the same location, in mm will be
(A) 4
(B) 2
(C) 0.5
(D) 0.25
Answer: (C)
Explanation:













