Gate ME-2012 Question Paper With Solutions

Q 19.Gate ME-2012 Question Paper With SolutionsGate ME-2012 Question Paper With Solutions

Answer: (B)

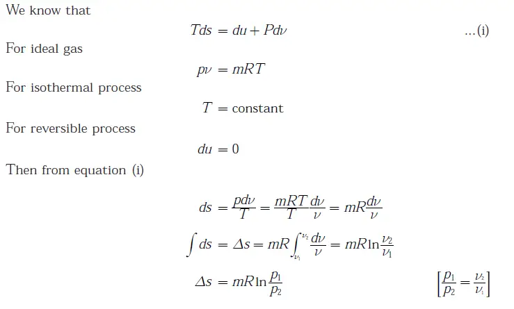
Explanation:Gate ME-2012 Question Paper With Solutions

Learn More:   Gate ME-2016-3 Question Paper With Solutions

LEAVE A REPLY

Please enter your comment!
Please enter your name here