Gate ME-2012 Question Paper With Solutions

Q 25.  For the spherical surface Gate ME-2012 Question Paper With Solutions, the unit outward normal vector at the
point Gate ME-2012 Question Paper With Solutions,  is given by

Gate ME-2012 Question Paper With Solutions

Answer: (A)

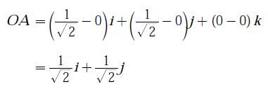
Explanation:

Gate ME-2012 Question Paper With Solutions

Gate ME-2012 Question Paper With Solutions

Learn More:   Gate EC-2011 Question Paper With Solutions

LEAVE A REPLY

Please enter your comment!
Please enter your name here