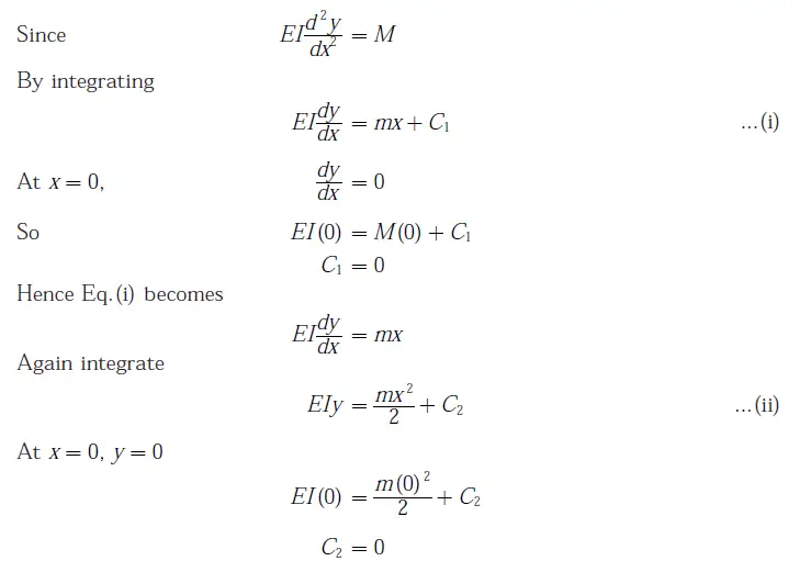
Q 22. A cantilever beam of length L is subjected to a moment M at the free end. The
moment of inertia of the beam cross section about the neutral axis is I and the
Young’s modulus is E. The magnitude of the maximum deflection is
Answer: (A)
Explanation:















