Q 40. A large tank with a nozzle attached contains three immiscible, inviscide fluids as
shown. Assuming that the change in are negligible, the instantaneous
discharge velocity is

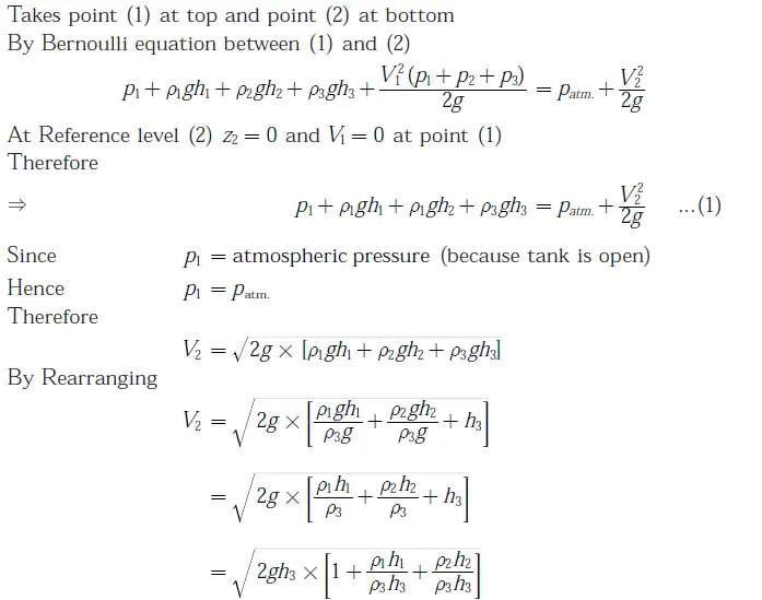
Explanation:
Q 40. A large tank with a nozzle attached contains three immiscible, inviscide fluids as
shown. Assuming that the change in are negligible, the instantaneous
discharge velocity is

Explanation: