Q61 A binary communication system makes use of the symbols “zero” and “one”. There are channel errors. Consider the following events:
The following probabilities are given:
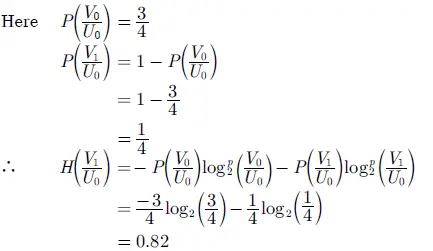
The information in bits that you obtain when you learn which symbol has been received (while you know that a “zero” has been transmitted) is ______
Answer: (0.8 to 0.82)
Explanation:













