Gate EC-2016 – 2 Question Paper With Solutions

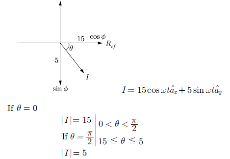
Q.15 Consider the time-varying vector Gate EC-2016 - 2 Question Paper With Solutionsin Cartesian coordinates, where Gate EC-2016 - 2 Question Paper With Solutions is a constant. When the vector magnitude |I | is at its minimum value, the angle Gate EC-2016 - 2 Question Paper With Solutions that I makes with the x axis (in degree, such thatGate EC-2016 - 2 Question Paper With Solutions) is _____

Answer: (90°)

Explanation:
Gate EC-2016 - 2 Question Paper With Solutions

Learn More:   Gate EE-2014-2 Question Paper With Solutions

LEAVE A REPLY

Please enter your comment!
Please enter your name here