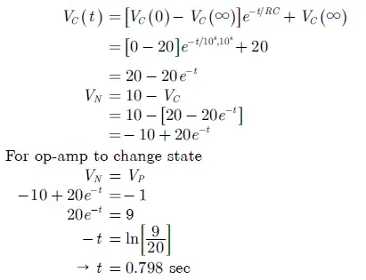
Q.50 In the opamp circuit shown, the Zener diodes and
clamp the output voltage
to +5V or -5 V. The switch S is initially closed and is opened at time t = 0
The time (in seconds) at which
changes state is ______
Answer: (0.798 sec)
Explanation:














